|
2.4水質シミュレーションの計算結果
1)各水質項目の再現性
植物プランクトンや栄養塩、溶存酸素を中心とする水質項目については、水温・塩分と同様に島根大学の宍道湖・中海水質月報( 図2.7参照)を利用して、水質シミュレーションの再現性を検討した。
ここでは水温・塩分と同様に、宍道湖のSt.23とSt.22、中海のSt.4とSt.12および本庄工区のSt.25について、シミュレーションによる水質項目の計算値を観測値と比較し、時間変化の再現性を検討した。Chl−aの比較結果を図2.18、P04−Pの比較結果を図2.19、NH4−Nの比較結果を図2.20、N03−Nの比較結果を図2.21、DOの比較結果を図2.22にそれぞれ示した。各地点で観測値の時空間変動が激しく、決して十分な再現結果には至らなかったが、全体として観測値の季節変化の傾向をとらえることができたと考えられる。
特に再現するのが困難だった点は、冬季におけるChl−aの増殖と夏季における底層P04−Pの溶出が挙げられ、今後の課題である。特に、中海のリンの溶出量については、実際にはかなりの量があるものと考えられる。
DOについてみると、表層では若干の相違が認められたが、底層の濃度変化、とりわけ成層期底層の貧酸素水塊は合理的に再現されている。冬季の宍道湖底層において、観測との不一致が顕著であったが、塩分と同様に中海から宍道湖への逆流入の再現が不十分であったと思われる。
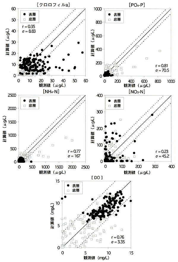
また、再現性を定量的に示すために、調査全地点の観測値と対応する計算値を抽出し、両者の整合性を相関図により表示した。結果は図2.23に示したとおりで、DOについては全期を通じほぼ1:1の対応を示す良好な再現が得られた。
2)DO分布
ここでは、宍道湖・中海における現況のDO分布の特徴をとらえるため、シミュレーション結果から各月観測日における日平均分布を、表層と底層(海底直上)および斐伊川から美保湾に至る鉛直断面( 図2.12参照)について 図2.24に示した。これによると、中海では米子湾から6月上旬に貧酸素水塊が発生し、成層の発達につれて中海全体に拡大すること、またその規模は8〜10月にかけて最大に達し、その後次第に減衰するが12月初旬まで米子湾付近に残っている様子が伺えた。一方、宍道湖底層においても夏季は貧酸素化している様子が伺え、中海・宍道湖汽水系における酸素環境の季節変動が確認できた。
図2.18 |
調査地点におけるクロロフィルaの計算値と観測値との比較 |
(拡大画面:33KB) |
 |
図2.19 |
調査地点におけるリン酸態リンの計算値と観測値との比較 |
(拡大画面:28KB) |
 |
図2.20 |
調査地点におけるアンモニア態窒素の計算値と観測値との比較 |
(拡大画面:42KB) |
 |
図2.21 |
調査地点における硝酸態窒素の計算値と観測値との比較 |
(拡大画面:36KB) |
 |
図2.22 |
調査地点における溶存酸素の計算値と観測値との比較 |
(拡大画面:47KB) |
 |
図2.23 |
調査全点での水質項目の観測値と計算値の整合性 |
(拡大画面:49KB) |
 |
|