日本財団 図書館


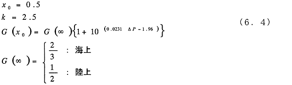
(5.12)式で、x0はG(x)の最大となるx(=r/r0)の値、G(∞)は台風周辺での風速比、kは形状を表すパラメータである。このモデルでは、図6.1の左図を参考に以下の値を与える。

072-1.gif

さらに、吹き込み角βを次のように設定する。

072-2.gif

 

072-3.gif

図6.1 地表風速と傾度風の関係及び風速分布一例

 

 

 

前ページ   目次へ   次ページ

 






日本財団図書館は、日本財団が運営しています。

  • 日本財団 THE NIPPON FOUNDATION