
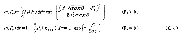
となる。さらに、甲板荷重Foの超過確率P(Fo)は、

となる。ここでσn は船首相対水位の標準偏差を表わす。
6.2.2 計算例
(6.1) 式のαは本部会で行った規則波中実験結果から決定した。図6.1及び図6.2に船首相対水位の最大値がBow top heightを越えた高さ(越波高さ)δと甲板荷重Fとの関係を示す。縦軸及び横軸の値はそれぞれ実船換算した値を表す。また、縦軸の甲板荷重は甲板面積で割った値(平均水圧)で表す。丸印等が実験結果であり、それを(6.1)式で近似したものを実線等で示す。
図6.3及び6.4に甲板荷重の超過確率の推定値と、本部会で行った不規則波中実験での計測値との比較を示す。それぞれ縦軸に超過確率、横軸に甲板荷重をとっている。縦軸の甲板荷重は甲板面積で割った値(平均水圧)で表す。計算に用いた船首相対水位の分散値は、不規則波中実験で得られた値を用いた。これらの図から(6.4)式を用いて求めた甲板荷重の超過確率は、概ね実験値と一致していることがわかる。
6.3 甲板荷重の長期予測計算
前節に示した結果を用いることで、甲板荷重の長期予測は次式で行うことができる。

P(H,T)は、波浪の発現頻度であり、また、P(F)を計算する際は各波高、各周期ごとに計算した船首相対水位の分散値を用いる。図6.5に本部会で模型実験に用いたタンカー及び貨物船について長期予測計算を行った結果を示す。縦軸の甲板荷重は甲板面積で割った値(平均水圧)で表す。設計便覧(造船設計便覧、関西造船協会編)によると甲板荷重は0.1Lpp(ton/m2)といわれている。図6.5の結果は正面向波の結果であるため設計荷重の発生確率は若干高くなるものの、本手法による推定は概ね妥当と考えられる。
6.4 まとめ
規則波中での打ち込み水による甲板荷重及び甲板水量の計測結果をもとに、船首相対水位と甲板荷重等の相関を表わすモデルを考察し、それを用いて甲板荷重等の超過確率を推定する手法を検討した。更に、その結果を用いて長期予測計算を行い、甲板荷重や甲板水量を指標とした乾舷の評価手法の計算ツールを確立した。本部会で行った甲板荷重にもとづく評価はこの手法を用いている。
(文責:船舶技術研究所 小川剛孝)