最終的に計算されたポイントの精度は、以下のファクターにより決定されます。
・水深
・音速度測定の精度
・音線屈折の適用
・動揺センサーの精度、分解能、データ更新間隔
・動揺センサーデータの適用
・測位システムの精度、分解能、データ更新間隔
・測位システムデータの適用
・船首方位センサーの精度、分解能、データ更新間隔
・船首方位センサーデータの適用
・潮位計の精度
・潮位データの適用
・システム同期の精度、分解能
・データ編集
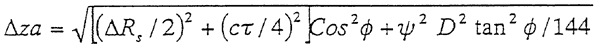
位相検出と振幅検出の両方を用いたときの水深誤差の計算式を以下に示します。
測深誤差はレンジサンプリング間隔、パルス幅、ビーム角度、ビーム幅の関数です。
振幅検出誤差

位相検出誤差

ただし:
△z=水深誤差
R=レンジサンプリング間隔(0.05m)
C=音速度(単位:m/s)
τ=音の往復時間(秒)
φ=ビーム角度
Ψ=ビーム幅
D=反射点までの直距離(単位:m)