日本財団 図書館


※ 高い天頂(high-zenith)アンテナに対しては、2フィートの直径を持つチョークリングにアンテナを取り付けたものが使用された。

※ 2つのアンテナ間のハードウェア遅延量の差は次のようにして補正される。

1. ダイポールアレイアンテナと高天頂アンテナから測定されたものは共通の場所でデコードされる。

2. 2つのアンテナ間で共通の全ての衛星間で積算されたドップラーの平均値変化がリアルタイムにハードウェア遅延量を調整するのに使用される。

3. ある1衛星が2つのアンテナ間で共通でありその仰角が25度から35度の間であるときはいつでも、2つのアンテナ間で測定された擬似距離にある差はハードウェア遅延量の初期値を更新するのに使われる。

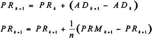
※ 100秒固定時間での擬似距離のスムージングは2つのGPS受信機からのデータが一緒にされた後に実施される。スムージングフィルターは次のような2つの方程式に従って導入されている。

123-1.gif

ここでPRはスムージングされた擬似距離、ADは積算されたドップラー測定値、PRMは測定された擬似距離、nはフィルターにおいた処理される測定値の数あるいはn=100もしフィルターで処理される100測定値以上がある場合。

 

2.3 インテグリティ方程式の実行

※ LAASインテグリティ方程式は、近年RTCA Special Committee159ワーキンググループ4Bで選択された。

インテグリティの概念は異なった地上の基準局からのディファレンシャル補正を比較することである。そのことはテスト結果、B-値として表された。

123-2.gif

ここで、mは基準局の番号を示し、nは衛星数、PRCは擬似距離補正、Mは基準局の総数を示している。

 

 

 

前ページ   目次へ   次ページ

 






日本財団図書館は、日本財団が運営しています。

  • 日本財団 THE NIPPON FOUNDATION