日本財団 図書館


2.3.2.3 カスプより発生する離岸流の検討
 カスプ上の計算については出口ら(2005)、竹田(2005)によって既に入射波特性とカスプの地形との関係が研究されている。しかし、実際に現地の海岸ではそれほど短時間で入射波浪場が変化するとは考えにくい。前節で検討したように波高が変化しなくても潮位などが変化しても、流れが大きく変わることが分かった。そのためカスプ地形において潮位,波向きが変化したときにどのように離岸流が変化するのかについて検討を行った。
 
(1)モデル地形の概要
 現地実測においてラージカスプの地形を詳細に測量することが困難であったため、数値計算は仮想的なモデル地形上で行った。地形の与え方は以下のようになる。
 
 
 max(A, B)はAとBのうち大きい方を値に取る関数である。
 
ここでdlは基本地形であり
 
 
xは汀線からの離岸距離であり、汀線より岸側では
 
 
とし、今回の計算ではA=0.101を用いた。ここでDXはメッシュ間隔である。
 
d2は波状地形であり、以下式で表される。
 
 
cl:波状汀線振幅
χw:汀線からの波状地形影響範囲
λ:波状汀線波長
 
dl,d2にて形成される地形の例が図−2.3.43である。
 
図−2.3.43 モデル地形の概要
 
χwに関してはカスプ地形の詳細な測量がなされていないため、今回は入射波高1mの波が砕波する点である、汀線から50mの位置(水深1.36m)に設定した。
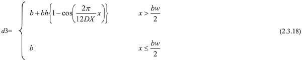
 またd3はバーを与える関数であり、以下のようにバーを与えた。
 
 
 ここでbはバーの頂点での水深、bhはバーの海底からの高さ、bwはバーの幅である。またxはバーの中心からの距離(絶対値)を示している。バーの中心は以下の式で定めた。
 
 
 式中のxbはバーの汀線からの距離を表し、aはバーの岸沖方向の振幅、blはバーの沿岸方向波長、phは位相である。またバーは浦富での観測例から凸部の先を幅20mで切断した形とした。これらの式によって作成されたバーの存在する地形の例が図−2.3.44になる。ここでの位相はπ/2としている。また図−2.3.44で沿岸距離150mでの岸沖断面を図−2.3.45に示す。
 
図−2.3.44 バーの存在する地形の一例(out-of-phase)
 
図−2.3.45 岸沖断面図(x=150)


前ページ 目次へ 次ページ





日本財団図書館は、日本財団が運営しています。

  • 日本財団 THE NIPPON FOUNDATION