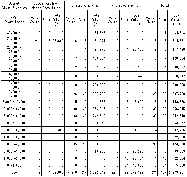
Notes (1) 2 steam turbine ships are mounted 1 set of turbines and 1 shaft ships (26,800kW).
(2) A motor propulsion ship is mounted 2 engines and 2 shafts ship (2,700kW × 2).
(3) All 234 ships on which 2 stroke engine is mounted are 1 engine and 1 shaft ships.
(4) Among 44 ships of 4 stroke engine mounted, 19 are of 1 engine and 1 shaft type, and 25 are of 2 engines and 2 shafts type.
Table 2.2-2 2 Stroke Main Engine's Classification of Licensors and Cylinder Bore

BACK CONTENTS NEXT