第4章 気圧分布の経験式と海上風速/傾度風の比
4.1 台風気圧分布の経験式
台風の気圧分布を表す経験式(モデルと呼ぶ)については、Bjerknes(1921)を始めとして多くの研究がなされている。例えば、堀口・高山(1927)、高橋(1939)、Fujita(1952)、Schloemer(1954)、光田ら(1974, 1975)、原口(1976)、蔵重(1977)などがある。
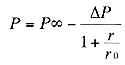
以下に、これらの代表的な台風モデルを表す。ここで、P∞は台風の影響の無い外側の気圧(hPa)、Pcは中心気圧(hPa)、△Pは台風中心の気圧の深度であり、△P=P∞-Pc、rは台風中心からの距離(km)、r0は、r=r0における気圧P(r0)が中心気圧PcとP∞との平均となる距離である。
Bjerknes(1921)は流体中の円形渦の研究を行い、大気にその理論を適用し、

を提案した。
堀口・高山(1927)は沖縄周辺の台風の船舶データから、気圧分布が双曲線分布に適合するとして

を導いている。
高橋(1939)は、堀口の式を一般形に変形し、

を提案した。