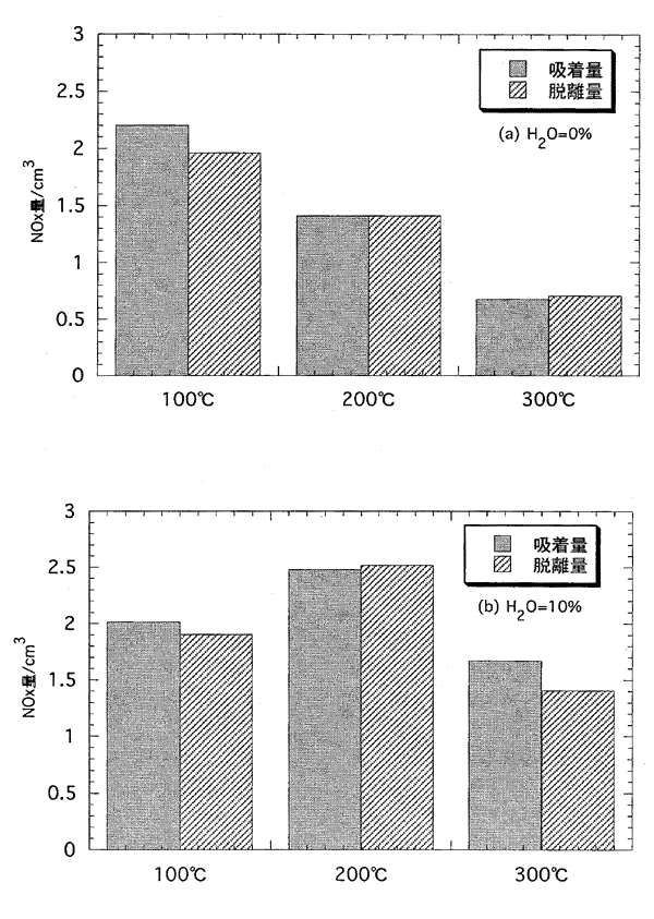
図4.2-19 NO恒温吸着試験結果
吸着剤:Mn2O3・2ZrO2(550℃焼成、Mn:Zr=1:1) 反応条件:NO=1,000ppm;O2=10%;SV=15,600h-1;ガス流量=100cm3・min-1; 昇温速度=10℃・min-1;吸着時間=60min. (a),H2O=0%;(b),H2O=10%
吸着剤:Mn2O3・2ZrO2(550℃焼成、Mn:Zr=1:1)
反応条件:NO=1,000ppm;O2=10%;SV=15,600h-1;ガス流量=100cm3・min-1;
昇温速度=10℃・min-1;吸着時間=60min. (a),H2O=0%;(b),H2O=10%
前ページ 目次へ 次ページ