
|
(LambertBeer)則を用いて次式で表すことができる。

ここでq0radはl=0での熱放射強度、α(m −1)を吸収係数、l(m)を吸収長さとする。
火炎の規模が大きくなれば火炎の周りの煤や蒸気による吸収層の厚さも増加するので、火源寸法(d)を用いて次式で表す。
ここでBは定数とする。
[風による傾き]
風があると、火炎は傾き、周囲からの空気の供給を受けて燃焼状態も変化する。
天然ガスの燃焼実験によれば拡散炎の風による傾きはフルード数(Froude数)U 2/(gd)に比例するとされる。

ここでUは風速(ms −1)、gは重力の加速度(9.8ms −2)、d(m)は火源寸法である。湯本らは、1mと10mの容器でガソリンを燃焼させた実験で次の結果を得ている6)。

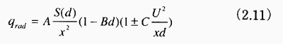
本報告では、傾きはフルード数に比例するとして、その影響は距離に反比例して小さくなると考え、補正分を次式で表す。

ここで、Cは定数とする。
以上の考察により、熱放射強度を火源寸法(d)で表すと次式となる。

2.2.4 対流伝熱
一方、火炎で発牛した高温ガスは風に流され受熱体に接触すると、熱伝達が行われ、その対流伝熱強度は次式で表される。

ここで、hは熱伝達率(Wm −2C)、Tgは周囲ガス温度(K)、Tmは受熱体の表
前ページ 目次へ 次ページ
|

|