日本財団 図書館


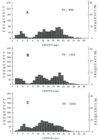
1996年宍道湖のシジミ漁場のヤマトシジミ生貝殻長組成(1996年8月16、17日調査)
A:岸より沖50mまで、B:岸より沖50m〜200m、C:岸より200m以上沖
TN:スミス・マッキンタイヤ採泥器で採集(底平面積2500cm2:500cm2×5本)、総個体数
 
図3.1 St.1(平田)のシジミ漁場
 
図3.2 St.2(斐川)のシジミ漁場
 
図3.3 St.3(一畑口)のシジミ漁場
 
図3.4 St.4(伊野)のシジミ漁場
 
 
1996年宍道湖のシジミ漁場のヤマトシジミ生貝殻長組成(1996年8月16、17日調査)
A:岸より沖50mまで、B:岸より沖50m〜200m、C:岸より200m以上沖
スミス・マッキンタイヤ採泥器で採集(底平面積2500cm2:500cm2×5本)、TN:総個体数
 
図4.1 St.5(白石)のシジミ漁場
 
図4.2 St.6(津ノ森)のシジミ漁場
 
図4.3 St.7(来待)のシジミ漁場
 
図4.4 St.8(鳥ヶ崎)のシジミ漁場







日本財団図書館は、日本財団が運営しています。

  • 日本財団 THE NIPPON FOUNDATION