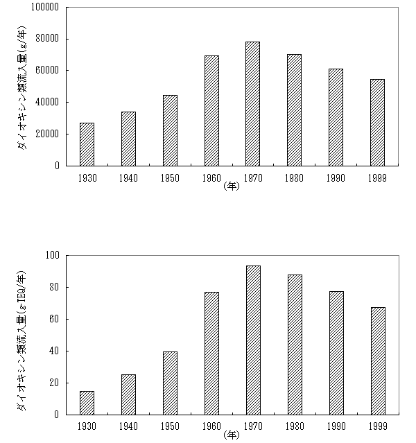
注1. 流入量=単位面積当たりの負荷量(5地点の平均)×東京湾の面積(富津岬、観音崎を結ぶ線以北:960km2※)とした。 2. 調査結果がない年代については内挿した。 3. 1930年はSt.1を除く4地点の平均値より算出した。 ※出典:「かけがえのない東京湾を次世代に引き継ぐために」(平成2年10月、環境庁水質保全局)
注1. 流入量=単位面積当たりの負荷量(5地点の平均)×東京湾の面積(富津岬、観音崎を結ぶ線以北:960km2※)とした。
2. 調査結果がない年代については内挿した。
3. 1930年はSt.1を除く4地点の平均値より算出した。
※出典:「かけがえのない東京湾を次世代に引き継ぐために」(平成2年10月、環境庁水質保全局)
図-4.8 東京湾へのダイオキシン類流入量
前ページ 目次へ 次ページ