日本財団 図書館


100-1.gif

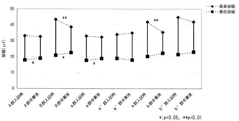
図5 徐波振幅の変化(後頭三角波との関係)

 

 

 

前ページ   目次へ   次ページ

 






日本財団図書館は、日本財団が運営しています。

  • 日本財団 THE NIPPON FOUNDATION