日本財団 図書館


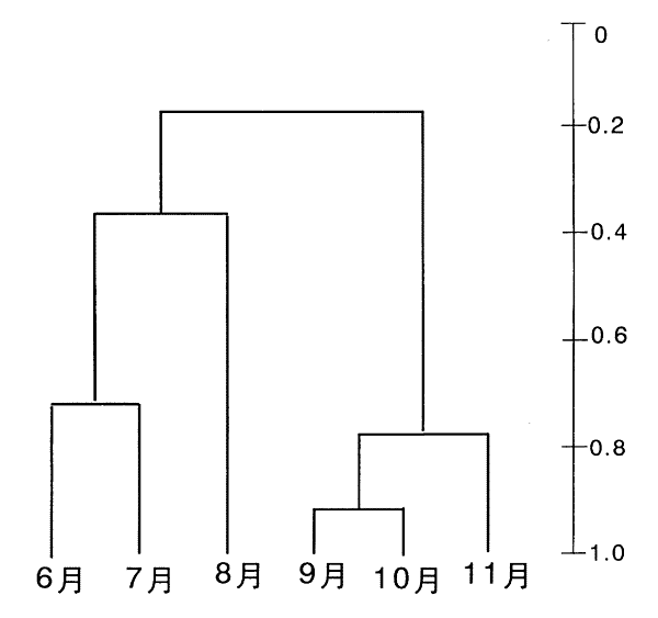
図11.1996年5月中旬に大阪府豊能町の山間部に休耕田を利用して造成したため池で同年6月から11月に確認されたマツモムシとヒメアメンボを除く24種の水生昆虫を対象に各月の水生昆虫群集間について算出したCπ指数よりクラスター解析して作成したデンドログラム。

 

 

 

前ページ   目次へ   次ページ

 






日本財団図書館は、日本財団が運営しています。

  • 日本財団 THE NIPPON FOUNDATION